Free Access

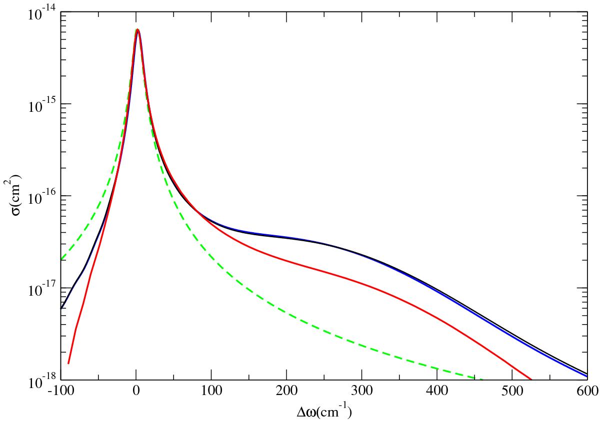
Fig. 5

image

Theoretical absorption cross sections of the components J0 (blue line), J1 (black line), and J2 (red line) compared to the Lorentzian profile for J2 (green/dash line). The density of perturbers is nHe = 1020 cm-3. The temperature is 6000 K.

Current usage metrics show cumulative count of Article Views (full-text article views including HTML views, PDF and ePub downloads, according to the available data) and Abstracts Views on Vision4Press platform.

Data correspond to usage on the plateform after 2015. The current usage metrics is available 48-96 hours after online publication and is updated daily on week days.

Initial download of the metrics may take a while.