Press Release
Free Access

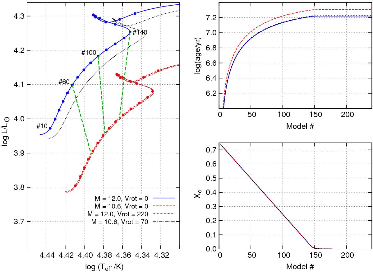
Fig. 7

image

Left: evolutionary tracks for stellar models with masses equal to 12.0 and 10.6 M and different values of Vrot (see the labels). The OP opacities and initial composition of X = 0.7374 and Z = 0.0134 were adopted. Every tenth model for the non-rotating case is indicated with a dot, starting from model #10 (labeled). Three coeval pairs of models are connected with dashed lines and labeled with model number in the 12.0-M evolutionary track; see text for explanation. Right: age (top) and central hydrogen mass abundance, Xc, (bottom) plotted as a function of model number. The relation for 12.0 M is plotted with a continuous line, and for 10.6 M, with a dashed line.

Current usage metrics show cumulative count of Article Views (full-text article views including HTML views, PDF and ePub downloads, according to the available data) and Abstracts Views on Vision4Press platform.

Data correspond to usage on the plateform after 2015. The current usage metrics is available 48-96 hours after online publication and is updated daily on week days.

Initial download of the metrics may take a while.