Free Access

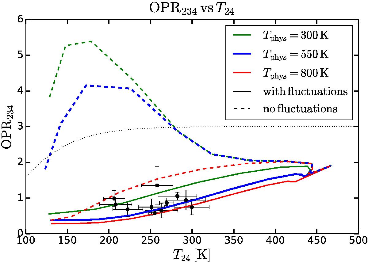
Fig. 18

image

Influence of the physisorption binding energy Tphys on the observable OPR234 as a function of T24. We compare models results for three values of Tphys (300 K in red, 550 K in blue, and 800 K in green) and for two different prescriptions of the ortho-para conversion on grains (rate equation neglecting fluctuations in dashed lines, full statistical treatment of fluctuations in solid lines) to the PDR observations.

Current usage metrics show cumulative count of Article Views (full-text article views including HTML views, PDF and ePub downloads, according to the available data) and Abstracts Views on Vision4Press platform.

Data correspond to usage on the plateform after 2015. The current usage metrics is available 48-96 hours after online publication and is updated daily on week days.

Initial download of the metrics may take a while.