Free Access

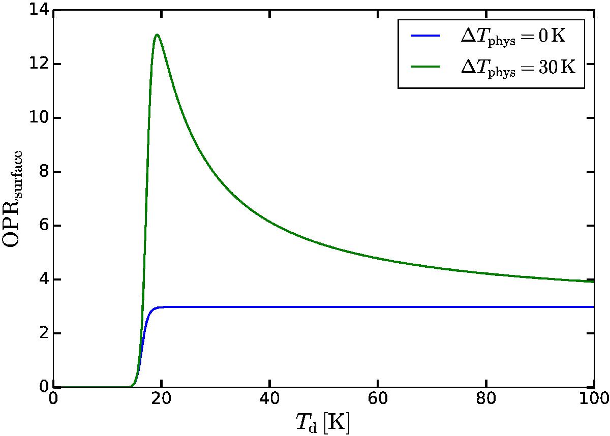
Fig. 4

image

Ortho-para ratio of the adsorbed molecules with and without a difference of binding energy ΔTphys between ortho-H2 and para-H2. This computation was done with a gas ortho-para ratio of 3, a binding energy for para-H2 of 500 K, and a conversion timescale of 10 s.

Current usage metrics show cumulative count of Article Views (full-text article views including HTML views, PDF and ePub downloads, according to the available data) and Abstracts Views on Vision4Press platform.

Data correspond to usage on the plateform after 2015. The current usage metrics is available 48-96 hours after online publication and is updated daily on week days.

Initial download of the metrics may take a while.