Free Access

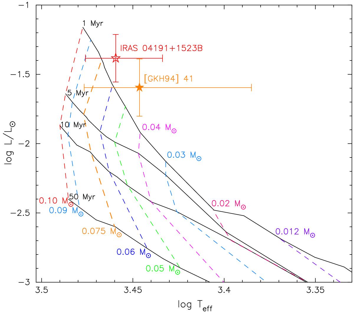
Fig. 3

image

H-R diagram for [GKH94] 41 and IRAS 04191+1523B. Isochrones and mass tracks from the theoretical evolutionary models of Chabrier et al. (2000) for M ≤ 0.075 M and Baraffe et al. (1998) for M> 0.075 M. The solid and open stars represent [GKH94] 41 (M7.5 ± 1.5) and IRAS 04191+1523B (M7.0 ± 1.0), respectively. The error bars reflect the uncertainties in the spectral type, 1.5 subclasses for [GKH94] 41 (Luhman et al. 2009) and 1.0 subclass for IRAS 04191+1523B (Luhman et al. 2010).

Current usage metrics show cumulative count of Article Views (full-text article views including HTML views, PDF and ePub downloads, according to the available data) and Abstracts Views on Vision4Press platform.

Data correspond to usage on the plateform after 2015. The current usage metrics is available 48-96 hours after online publication and is updated daily on week days.

Initial download of the metrics may take a while.