Free Access

Fig. 4

image

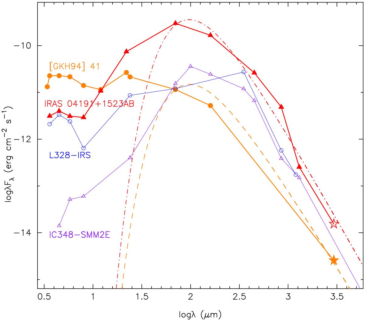
SEDs of the class I VLM objects ([GKH94] 41: brown line, IRAS 04191+1523AB: red line) and previously reported class 0 proto-BDs: L328-IRS Lee et al. (2013; blue line) and IC348-SMM2E Palau et al. (2014; violet line). For [GKH94] 41 and IRAS 04191+1523AB, infrared to submm data are taken from Bulger et al. (2014) and references therein. The mm data measured in this paper are indicated by the open and solid stars for IRAS 04191+1523AB and [GKH94] 41, respectively. The brown dashed line shows the best fit for a modified blackbody of the dust envelope of [GKH94] 41 and the red dash-dotted line for IRAS 04191+1523AB.

Current usage metrics show cumulative count of Article Views (full-text article views including HTML views, PDF and ePub downloads, according to the available data) and Abstracts Views on Vision4Press platform.

Data correspond to usage on the plateform after 2015. The current usage metrics is available 48-96 hours after online publication and is updated daily on week days.

Initial download of the metrics may take a while.