Free Access

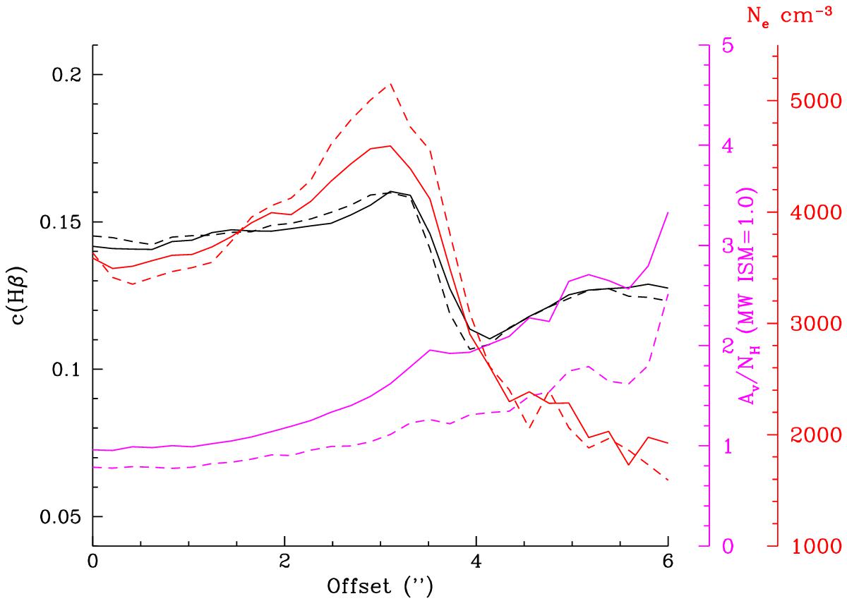
Fig. 6

image

Collapsed mean cross sections for the four rim regions displayed in Fig. 2, showing the variation of extinction, c, AV/NH and Ne (cm-3) with relative offset across the rim (solid lines), and for rim region 1 (dashed lines); cf., Fig. 4. The dust-to-gas ratio AV/NH is expressed as a fraction of the ISM value of 5.07 × 10-22 mag cm-2 from Gudennavar et al. (2012).

Current usage metrics show cumulative count of Article Views (full-text article views including HTML views, PDF and ePub downloads, according to the available data) and Abstracts Views on Vision4Press platform.

Data correspond to usage on the plateform after 2015. The current usage metrics is available 48-96 hours after online publication and is updated daily on week days.

Initial download of the metrics may take a while.