Free Access

Fig. 2

image

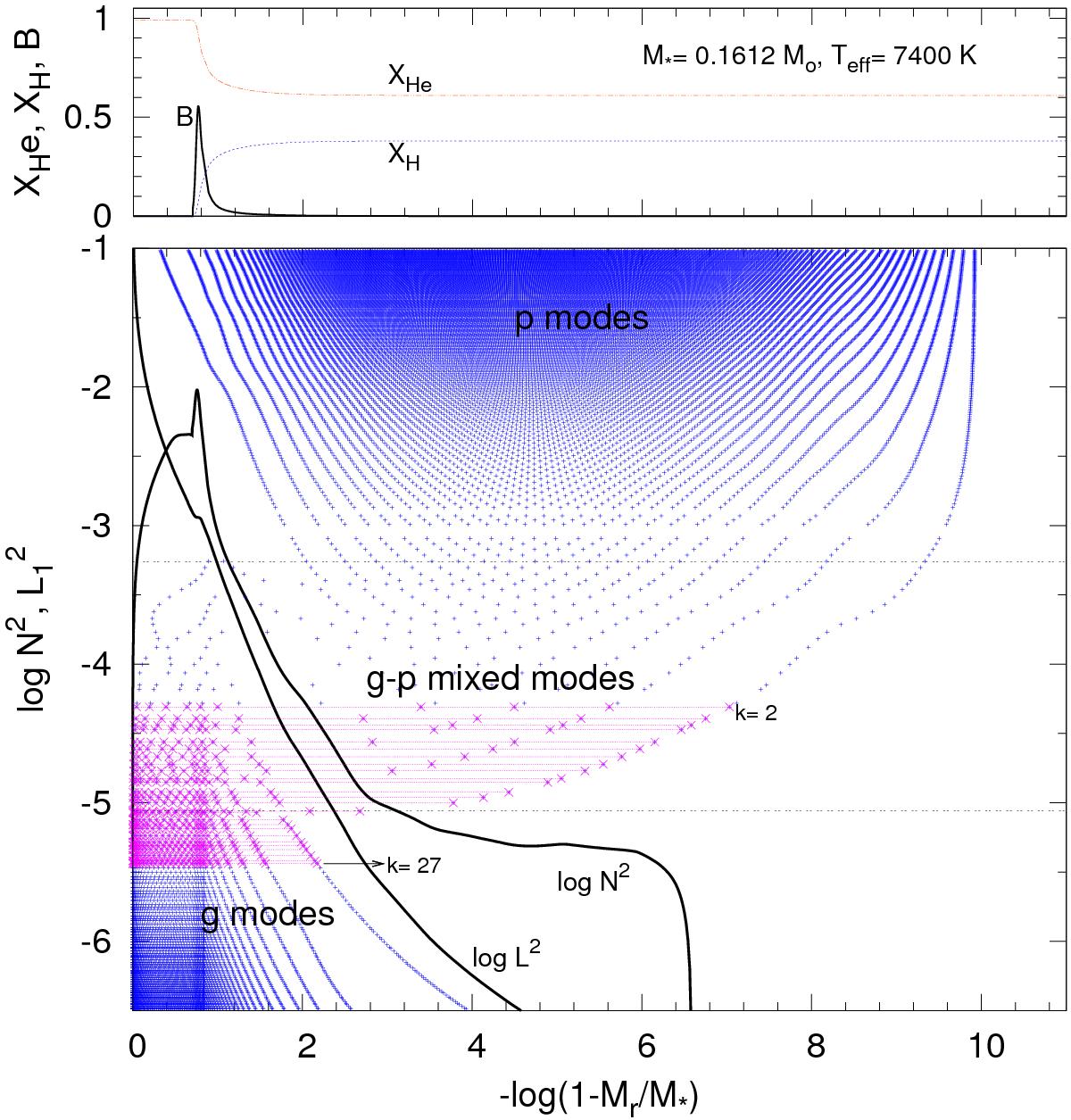
Internal chemical profiles of He and H and the Ledoux term B (upper panel) and the propagation diagram – the run of the logarithm of the squared critical frequencies () – (lower panel), in terms of the outer mass fraction coordinate, corresponding to the pre-WD template model of M = 0.1612 M and Teff ~ 7400 K marked in Fig. 1. In the lower panel, small “+”symbols (in blue) correspond to the spatial location of the nodes of the radial eigenfunction of dipole ( = 1) g, p and gp mixed modes. The (squared) frequency interval corresponding to gp mixed modes is enclosed with two dotted horizontal lines. Nodes corresponding to unstable modes (from the k = 2g mixed mode to the k = 27 pure g mode) are emphasized with “×” symbols (in magenta) connected with thin lines.

Current usage metrics show cumulative count of Article Views (full-text article views including HTML views, PDF and ePub downloads, according to the available data) and Abstracts Views on Vision4Press platform.

Data correspond to usage on the plateform after 2015. The current usage metrics is available 48-96 hours after online publication and is updated daily on week days.

Initial download of the metrics may take a while.