Free Access

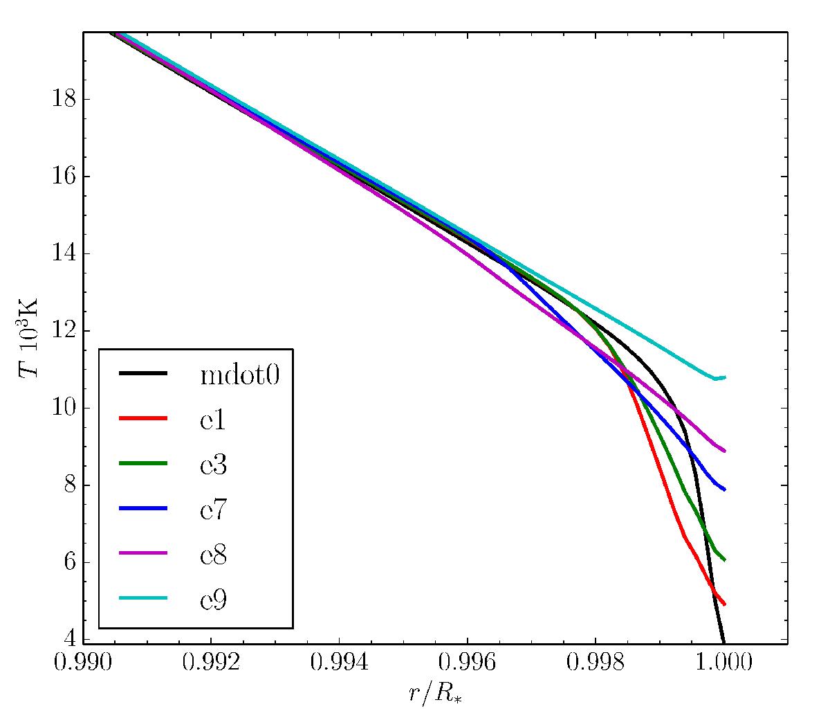
Fig. 2

image

Volume-averaged temperature in the outer 1% of the stellar radius for the non-accreting model (mdot0) and for the accreting models (cases e1 to e9) at time t = 3 × 107 s. At this stage 1.9 × 1029 g has been accreted (3 × 107 s of accretion at an accretion rate of 1 × 10-4M yr-1). Curves labelled e1e9 correspond to the accreting calculations with varying eacc (see Table 1 for the specific internal energies of the accreted material).

Current usage metrics show cumulative count of Article Views (full-text article views including HTML views, PDF and ePub downloads, according to the available data) and Abstracts Views on Vision4Press platform.

Data correspond to usage on the plateform after 2015. The current usage metrics is available 48-96 hours after online publication and is updated daily on week days.

Initial download of the metrics may take a while.