Free Access

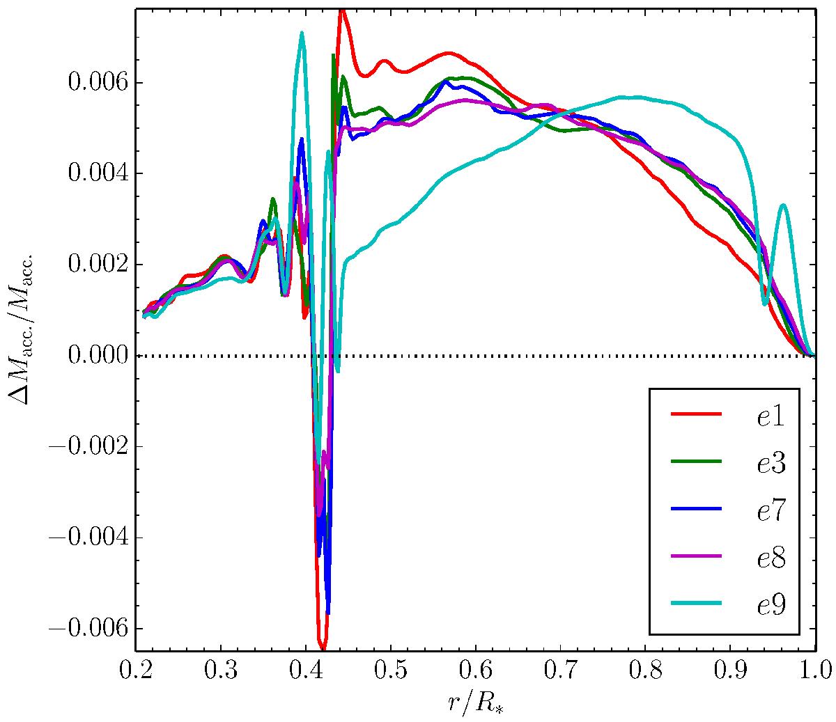
Fig. 6

image

Change in mass distribution in each radial shell of an accreting model relative to the non-accreting model for different values of eacc at time t = 3 × 107 s. The reference model used to calculate ΔMacc is the non-accreting model at same age (see text, Sect. 4).

Current usage metrics show cumulative count of Article Views (full-text article views including HTML views, PDF and ePub downloads, according to the available data) and Abstracts Views on Vision4Press platform.

Data correspond to usage on the plateform after 2015. The current usage metrics is available 48-96 hours after online publication and is updated daily on week days.

Initial download of the metrics may take a while.