Fig. 1

image

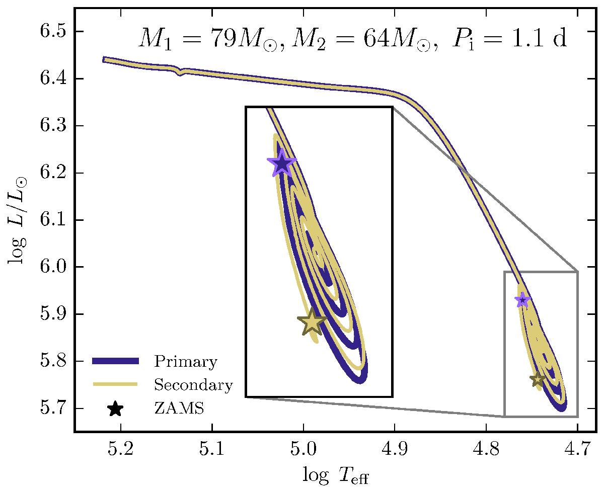
Evolutionary tracks of both stars in a MOB in the HR diagram. The initial masses are 79 M and 64 M and the initial orbital period is 1.1 d. Both stars evolve towards nearly equal masses, such that their evolutionary tracks after the overcontact phase become almost identical.

Current usage metrics show cumulative count of Article Views (full-text article views including HTML views, PDF and ePub downloads, according to the available data) and Abstracts Views on Vision4Press platform.

Data correspond to usage on the plateform after 2015. The current usage metrics is available 48-96 hours after online publication and is updated daily on week days.

Initial download of the metrics may take a while.