Fig. 10

image

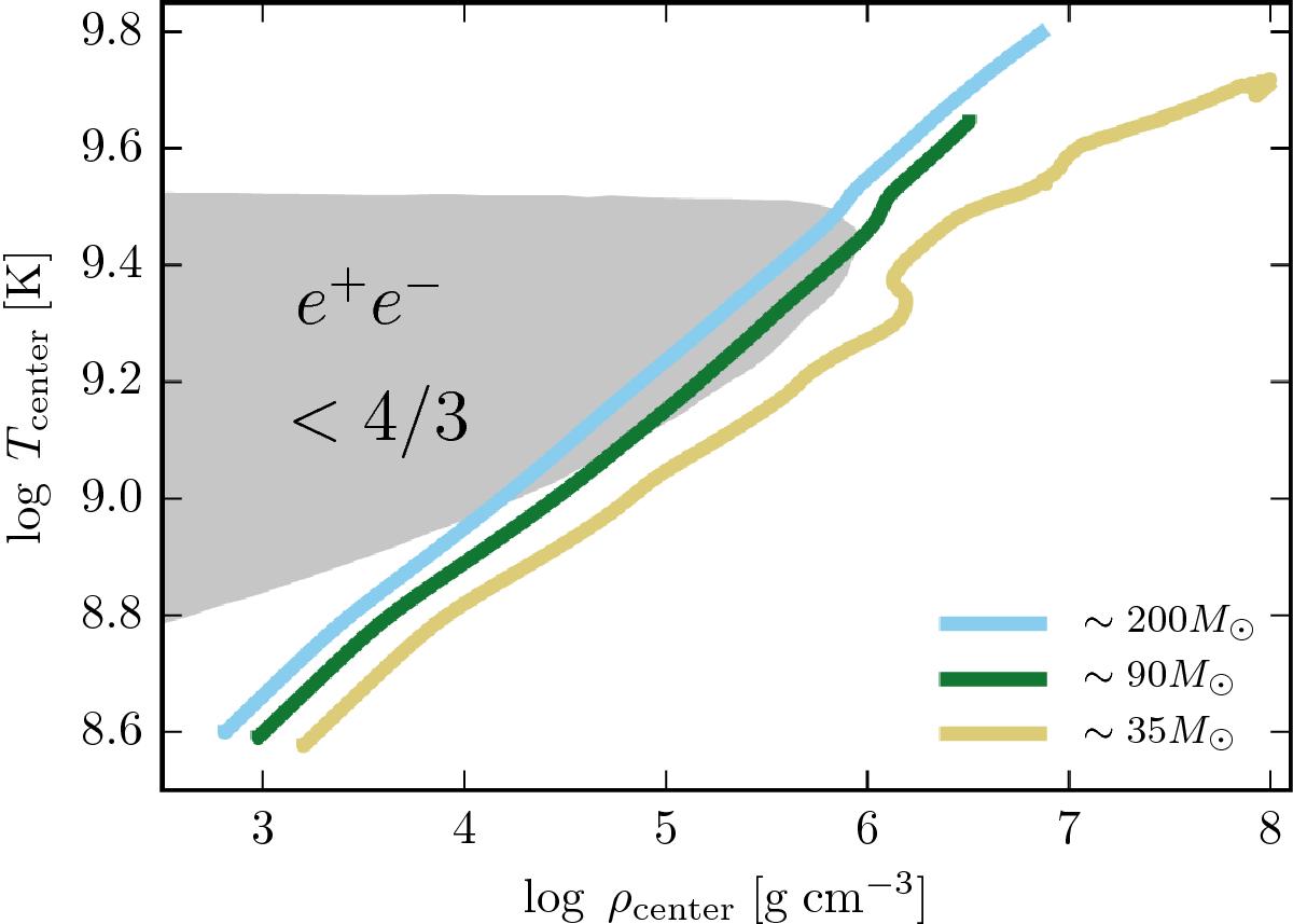
Evolution in the Tcρc-diagram for the three stellar models at Z = Z/ 50 (with the masses at helium depletion as indicated) calculated to the final evolutionary stage. The shaded region shows the region that is unstable to pair creation. Both the 35 M and the 200 M stars collapse to form black holes, while the 90 M is disrupted in a PISN.

Current usage metrics show cumulative count of Article Views (full-text article views including HTML views, PDF and ePub downloads, according to the available data) and Abstracts Views on Vision4Press platform.

Data correspond to usage on the plateform after 2015. The current usage metrics is available 48-96 hours after online publication and is updated daily on week days.

Initial download of the metrics may take a while.