Fig. 8

image

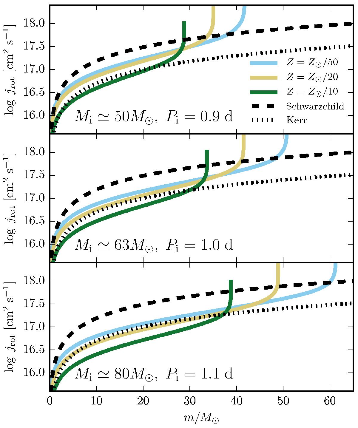
Angular-momentum profiles at core helium depletion for the primary stars of binaries from our grid that result in double helium star binaries. We show stars of three different initial masses in binaries with similar initial orbital periods at metallicities of Z = Z/ 50,Z/ 20, and Z/ 10. The curves for the specific angular momentum of the last stable orbit for a non-rotating (Schwarzschild) and critically rotating (Kerr) black hole are also included.

Current usage metrics show cumulative count of Article Views (full-text article views including HTML views, PDF and ePub downloads, according to the available data) and Abstracts Views on Vision4Press platform.

Data correspond to usage on the plateform after 2015. The current usage metrics is available 48-96 hours after online publication and is updated daily on week days.

Initial download of the metrics may take a while.