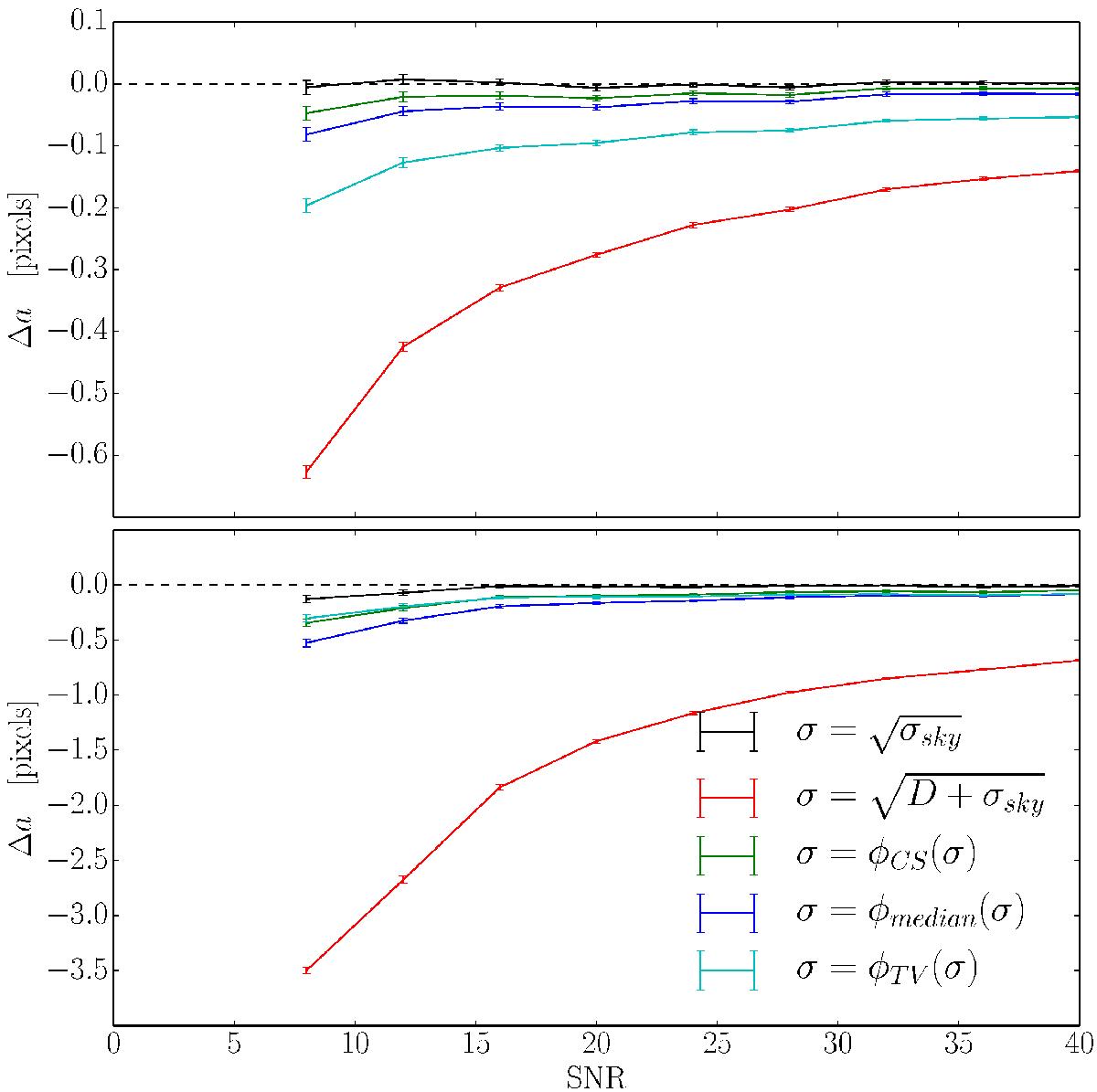
Fig. A.2

Bias on the width of a circular Gaussian as a function of S/N. For each S/N bin, the bias is measured using 1000 realizations of the simulation. Top: the fit without convolution by a PSF. Bottom: the fit with a PSF. Each curve shows the bias measured from the width of the simulated Gaussian for different ways of estimating the noise (see text).
Current usage metrics show cumulative count of Article Views (full-text article views including HTML views, PDF and ePub downloads, according to the available data) and Abstracts Views on Vision4Press platform.
Data correspond to usage on the plateform after 2015. The current usage metrics is available 48-96 hours after online publication and is updated daily on week days.
Initial download of the metrics may take a while.