Free Access

Fig. 10

image

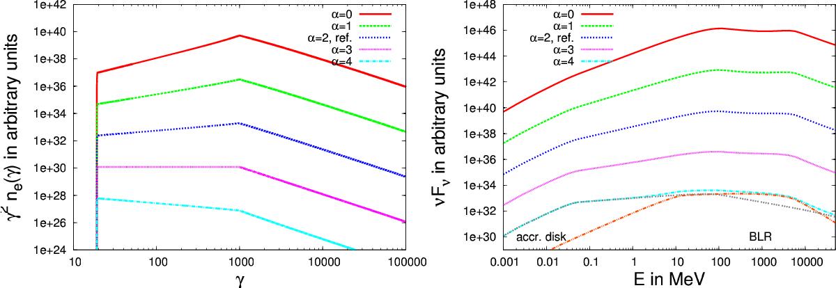
Ambient electron (left) and photon spectra (right) with different injection rate parameters α, with respect to the reference model. The total injected electron energies for α = (0,1,2,3,4) are calculated to Υinj = (4 × 105,512,1,0.3,9 × 10-6). In the case of α = 4, we also show the IC components produced by both target photon fields separately.

This figure is made of several images, please see below:

Current usage metrics show cumulative count of Article Views (full-text article views including HTML views, PDF and ePub downloads, according to the available data) and Abstracts Views on Vision4Press platform.

Data correspond to usage on the plateform after 2015. The current usage metrics is available 48-96 hours after online publication and is updated daily on week days.

Initial download of the metrics may take a while.