Free Access

Fig. 5

image

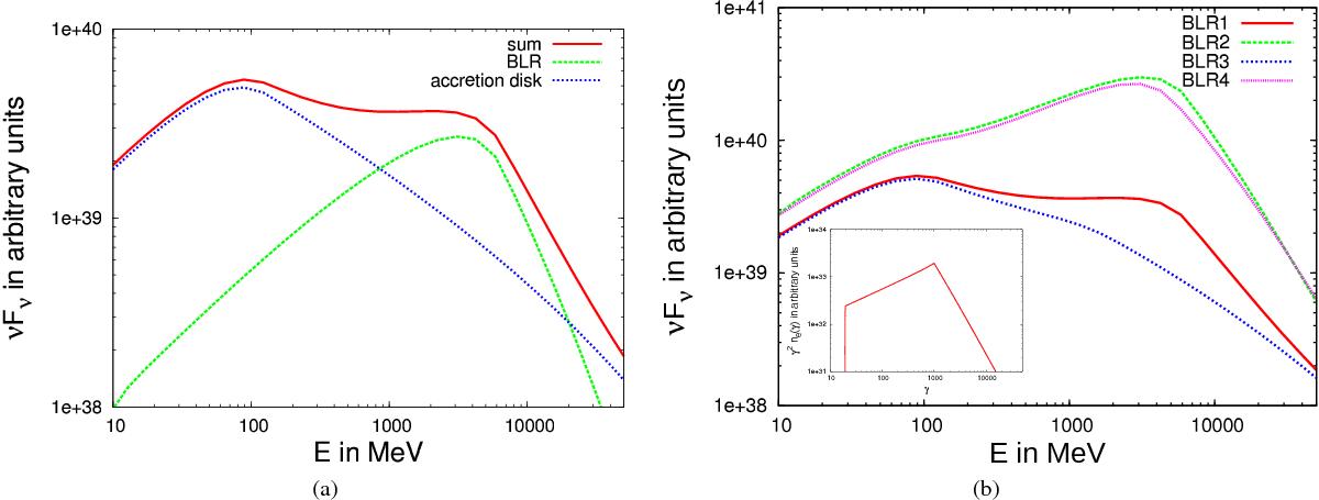
IC photon spectra (and ambient electron spectrum as an inlay in panel b for the reference model) for different BLR geometries used. a) Composite IC photon spectrum for the case of BLR1. b) Resulting IC photon spectra when varying the BLR geometries. The inlay shows the underlying ambient electron spectrum.

This figure is made of several images, please see below:

Current usage metrics show cumulative count of Article Views (full-text article views including HTML views, PDF and ePub downloads, according to the available data) and Abstracts Views on Vision4Press platform.

Data correspond to usage on the plateform after 2015. The current usage metrics is available 48-96 hours after online publication and is updated daily on week days.

Initial download of the metrics may take a while.