Free Access

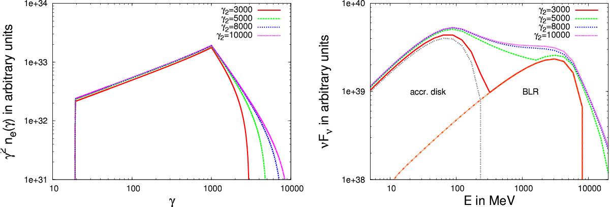
Fig. 9

image

Emitting electron spectra (left) and corresponding photon spectra (right) for γ2 that vary with respect to the reference model. The total injected electron energy is rather insensitive to γ2. For γ2 = (3000,5000,8000,10 000) we find Υinj = (0.7,0.8,0.9,0.9). In the case of γ2 = 3000, we show the photon components produced by both target photon fields.

This figure is made of several images, please see below:

Current usage metrics show cumulative count of Article Views (full-text article views including HTML views, PDF and ePub downloads, according to the available data) and Abstracts Views on Vision4Press platform.

Data correspond to usage on the plateform after 2015. The current usage metrics is available 48-96 hours after online publication and is updated daily on week days.

Initial download of the metrics may take a while.