Free Access

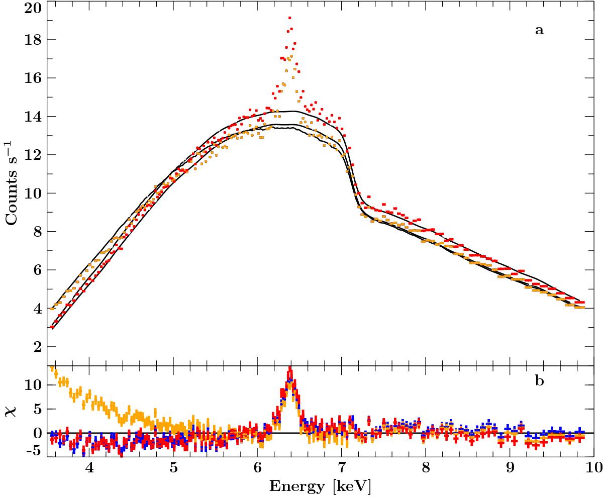
Fig. A.1

image

Top: observation of Vela X-1 (XMM-Newton ObsID 0111030101) made with the standard Timing Mode (red data points) and how the same observation would have looked like in the Modified Timing Mode (orange data points). Bottom: residuals of fitting these data with an absorbed power-law (red). Applying the same model and the standard Timing Mode matrix produces the residuals shown in orange, illustrating the softening. The residuals of a fit with the Modified Timing Mode response matrix (blue) agree with the Timing Mode residuals.

Current usage metrics show cumulative count of Article Views (full-text article views including HTML views, PDF and ePub downloads, according to the available data) and Abstracts Views on Vision4Press platform.

Data correspond to usage on the plateform after 2015. The current usage metrics is available 48-96 hours after online publication and is updated daily on week days.

Initial download of the metrics may take a while.