Free Access
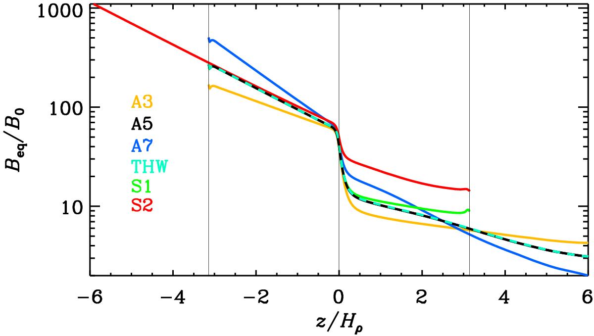
Fig. 1

Vertical profiles of equipartition magnetic field strengths Beq for Runs A3, A5, A7, THW, S1, and S2 as a function of height z/Hρ. Beq is normalized by the imposed magnetic field B0. The vertical lines indicate z = −π, 0,π.
Current usage metrics show cumulative count of Article Views (full-text article views including HTML views, PDF and ePub downloads, according to the available data) and Abstracts Views on Vision4Press platform.
Data correspond to usage on the plateform after 2015. The current usage metrics is available 48-96 hours after online publication and is updated daily on week days.
Initial download of the metrics may take a while.