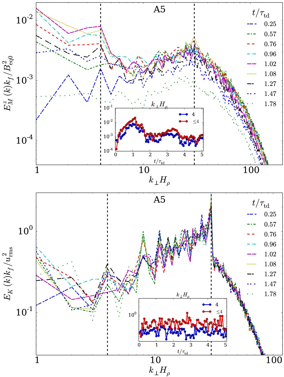
Fig. 12

Magnetic and kinetic power spectrum for Run A5. Top panel: spectrum of vertical magnetic energy at nine different times around
at the surface (z = 0) as a function of horizontal wavenumber k⊥. The inlay shows the vertical energy at k⊥Hρ = 4 (blue line) and k⊥Hρ ≤ 4 (red) as a function of time t/τtd. Bottom panel: spectrum of the kinetic energy EK plotted the same as the top panel. The vertical dashed lines indicate k⊥Hρ = 4 and k⊥Hρ = kfHρ = 30.
Current usage metrics show cumulative count of Article Views (full-text article views including HTML views, PDF and ePub downloads, according to the available data) and Abstracts Views on Vision4Press platform.
Data correspond to usage on the plateform after 2015. The current usage metrics is available 48-96 hours after online publication and is updated daily on week days.
Initial download of the metrics may take a while.