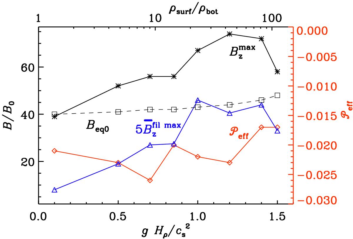
Fig. 3

Dependence of magnetic field amplification and effective magnetic pressure on stratification. Maximum vertical magnetic field (solid black) at the surface, maximum of the large-scale vertical magnetic field
(blue) at the surface, minimum of the effective magnetic pressure
(red), and equipartition field strength at the surface Beq0/B0 (dashed black) as a function of
and density contrast ρsurf/ρbot for Set A.
Current usage metrics show cumulative count of Article Views (full-text article views including HTML views, PDF and ePub downloads, according to the available data) and Abstracts Views on Vision4Press platform.
Data correspond to usage on the plateform after 2015. The current usage metrics is available 48-96 hours after online publication and is updated daily on week days.
Initial download of the metrics may take a while.