Free Access
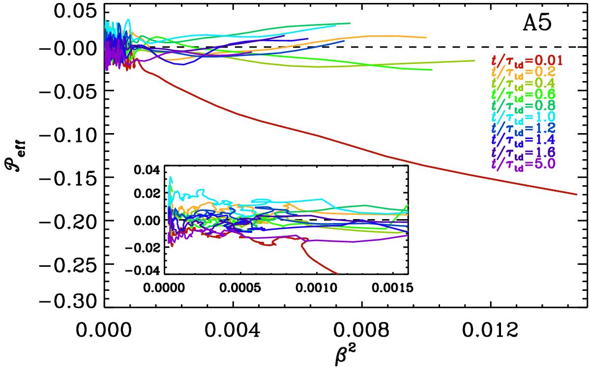
Fig. 5

Effective magnetic pressure plotted over
at ten different times for Run A5. The inlay shows a zoom-in to the lower values of β2, where we have averaged over 40 points to reduce the noise. The shown values are limited to the turbulent layer (z ≤ 0).
Current usage metrics show cumulative count of Article Views (full-text article views including HTML views, PDF and ePub downloads, according to the available data) and Abstracts Views on Vision4Press platform.
Data correspond to usage on the plateform after 2015. The current usage metrics is available 48-96 hours after online publication and is updated daily on week days.
Initial download of the metrics may take a while.