Free Access
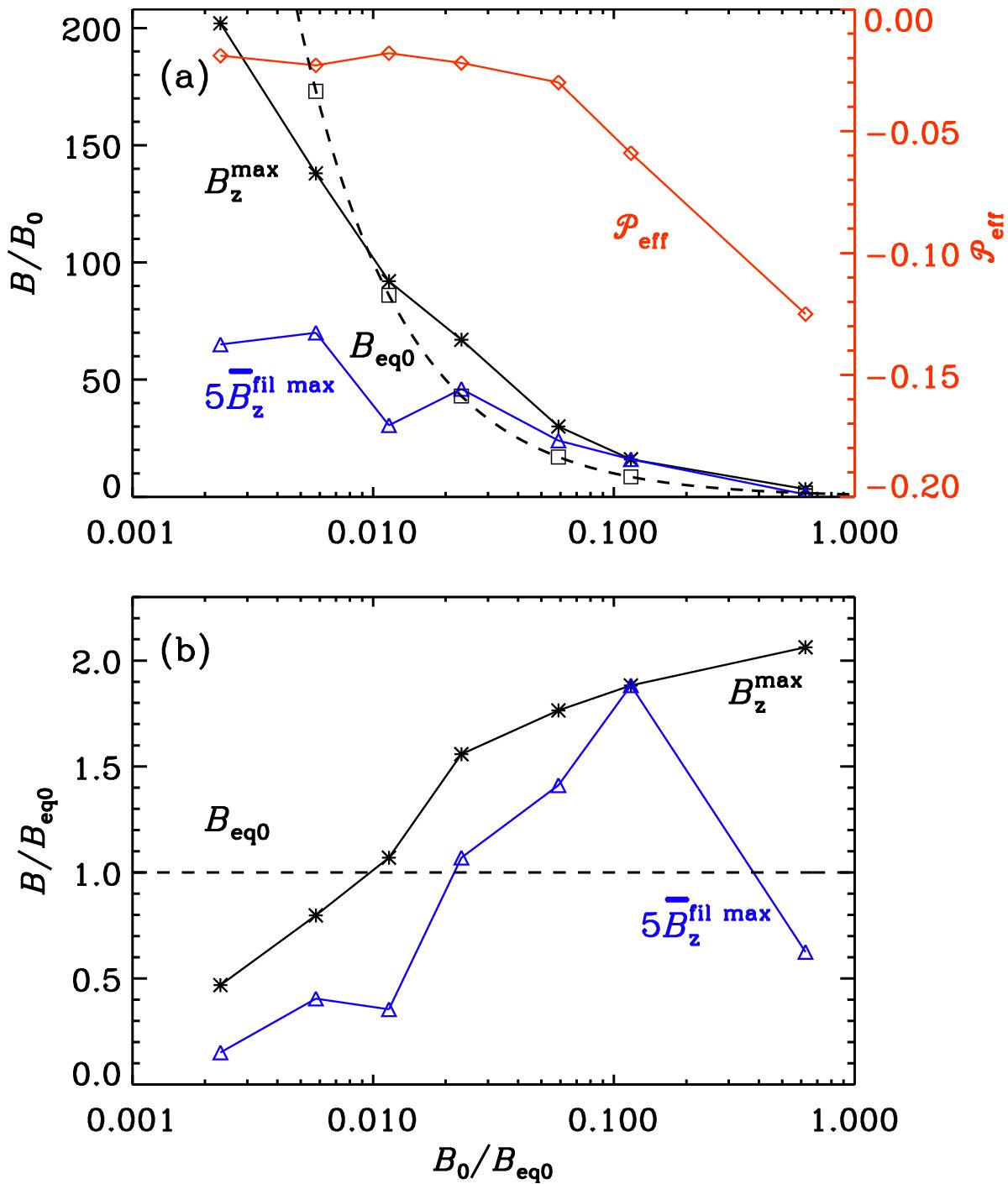
Fig. 9

Dependence of magnetic field amplification and effective magnetic pressure on the imposed magnetic field B0/Beq0 for Set B. The magnetic field is normalized by the imposed magnetic field B0a) or by the equipartition field strength at the surface Beq0b). Otherwise the legend is the same as in Fig. 3.
Current usage metrics show cumulative count of Article Views (full-text article views including HTML views, PDF and ePub downloads, according to the available data) and Abstracts Views on Vision4Press platform.
Data correspond to usage on the plateform after 2015. The current usage metrics is available 48-96 hours after online publication and is updated daily on week days.
Initial download of the metrics may take a while.