Free Access
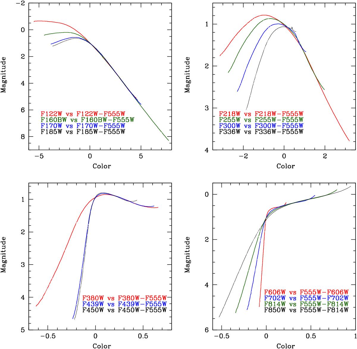
Fig. 5

ZAHB loci for Y = 0.246 and Z = 0.001 for different combinations of HST-WFPC2 filters, as indicated in the insets. F336W is the only filter producing the loop along the ZAHB locus (thin black line in the upper right panel).
Current usage metrics show cumulative count of Article Views (full-text article views including HTML views, PDF and ePub downloads, according to the available data) and Abstracts Views on Vision4Press platform.
Data correspond to usage on the plateform after 2015. The current usage metrics is available 48-96 hours after online publication and is updated daily on week days.
Initial download of the metrics may take a while.