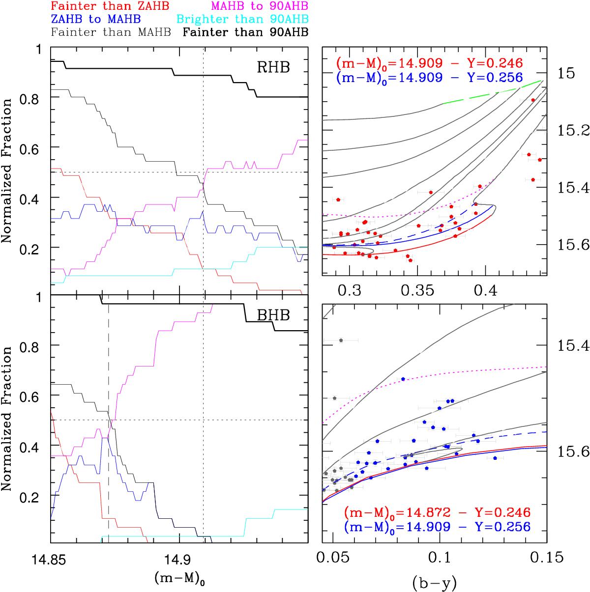
Fig. 6

Distance modulus determination for the Strömgrem filters according to the fraction of stars in each evolutionary stage along the HB, for Z = 0.001 and Y = 0.246. The upper and lower panels on the left show the normalized fractions for stars with 0.28 < (b − y) < 0.44 (RHB stars) and 0.060 < (b − y) < 0.135 (BHB stars), respectively, for filter y. Color lines represent the normalized fraction of stars that are (1) fainter than the ZAHB locus (red lines); (2) between the ZAHB and MAHB loci (blue lines); (3) between the MAHB and 90AHB loci (magenta lines); (4) between the 90AHB and TAHB loci (cyan lines); (5) fainter than the MAHB locus (thin black lines); and (6) fainter than the 90AHB locus (thick black lines). Vertical dotted lines represent the distance modulus used in the upper right panel (and Fig. 1), and the vertical dashed line in the lower right panel represents the distance modulus that should be selected if only BHB stars are considered. In the bottom panel the ZAHB locus with ΔY = 0.01 is shifted according to the distance modulus obtained from the RHB population for comparison.
Current usage metrics show cumulative count of Article Views (full-text article views including HTML views, PDF and ePub downloads, according to the available data) and Abstracts Views on Vision4Press platform.
Data correspond to usage on the plateform after 2015. The current usage metrics is available 48-96 hours after online publication and is updated daily on week days.
Initial download of the metrics may take a while.