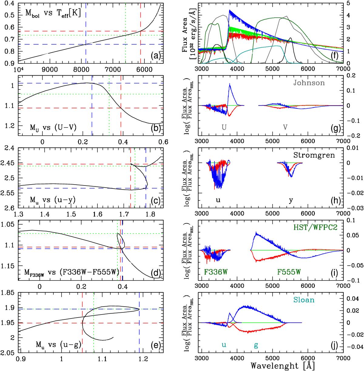
Fig. 8

Panels a) to e): ZAHB locus for Y = 0.246 and Z = 0.001 (black lines) in the theoretical plane (Mbol vs. Teff) and in four UV-bands (Johnson-Cousin U vs. U − V; Strömgrem u vs. (u − y); HST/WFPC2 F336W vs. (F336W − F555W); Sloan u vs. u − g). Dashed and dotted lines indicate the location at the ZAHB locus of the following temperatures: 6125 K (red line), 6600 K (green line), and 7800 K (blue line). Panel f): spectra of stars at the ZAHB level with the properties (Teff, log g) of dashed/dotted lines computed with ATLAS9 and SYNTHE packages. Transmission curves of the filters used in left panels are also shown: Johnson U − V (gray lines), Strömgren u − y (black lines), HST/WFPC2 F336W−F555W (dark green lines), and Sloan u − g (cyan lines). Transmission curves are multiplied arbitrarily by 4. To compare these spectra, fluxes are multiplied by the surface area of the respective star. Panels g) to j): differential convolved spectra depending on the transmission curves compared to the 6600 K spectra.
Current usage metrics show cumulative count of Article Views (full-text article views including HTML views, PDF and ePub downloads, according to the available data) and Abstracts Views on Vision4Press platform.
Data correspond to usage on the plateform after 2015. The current usage metrics is available 48-96 hours after online publication and is updated daily on week days.
Initial download of the metrics may take a while.