Free Access

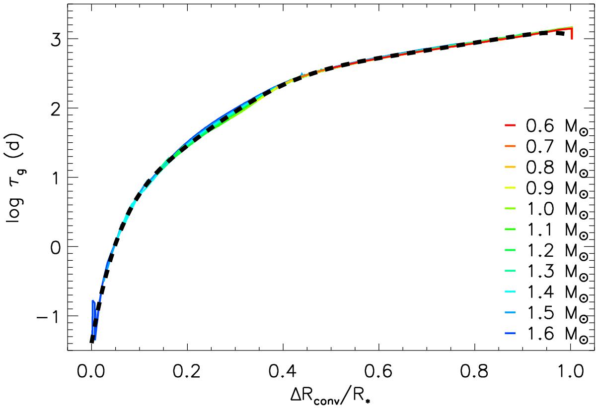
Fig. 4

image

Global convective turnover time, τg, vs. relative convective envelope radius, ΔRconv/R, derived from the PMS evolutionary models of Ventura et al. (1998), with ages ranging between 1 and 30 Myr. The black dashed line indicates the best-fit function adopted to convert the inferred convective radius of h Per members to derive their τg.

Current usage metrics show cumulative count of Article Views (full-text article views including HTML views, PDF and ePub downloads, according to the available data) and Abstracts Views on Vision4Press platform.

Data correspond to usage on the plateform after 2015. The current usage metrics is available 48-96 hours after online publication and is updated daily on week days.

Initial download of the metrics may take a while.