Free Access

Fig. 12

image

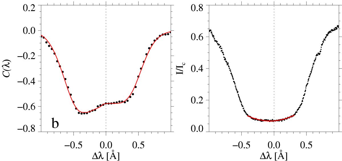
Dots show the contrast profile (left) and observed Hα profile (right). The profile belongs to the spine of the filament and is located at label b in Fig. 3. The red line shows the CM fit (left) and the Hα parabola line core fit (right). The inferred velocities for the CM and line core fits are −3.11 and −2.50 km s-1, respectively.

Current usage metrics show cumulative count of Article Views (full-text article views including HTML views, PDF and ePub downloads, according to the available data) and Abstracts Views on Vision4Press platform.

Data correspond to usage on the plateform after 2015. The current usage metrics is available 48-96 hours after online publication and is updated daily on week days.

Initial download of the metrics may take a while.