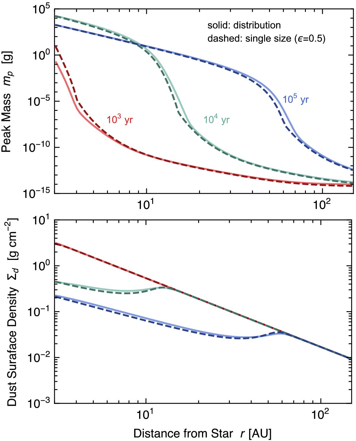
Fig. A.1

Comparison between single- and full-size coagulation calculations. The solid lines show the snapshots of the peak mass mp (Eq. (A.9); upper panel) and total dust surface density Σd (Eq. (A.8); lower panel) at different times as a function of orbital radius r obtained from the full coagulation simulation for the compact aggregation model by Okuzumi et al. (2012, see also their Fig. 2). The dashed line shows our reproduction using the single-size approach (Eq. (4) for Σd and Eq. (5) for mp) with ϵ = 0.5 (see Sect. 2.4 for the definition of ϵ).
Current usage metrics show cumulative count of Article Views (full-text article views including HTML views, PDF and ePub downloads, according to the available data) and Abstracts Views on Vision4Press platform.
Data correspond to usage on the plateform after 2015. The current usage metrics is available 48-96 hours after online publication and is updated daily on week days.
Initial download of the metrics may take a while.