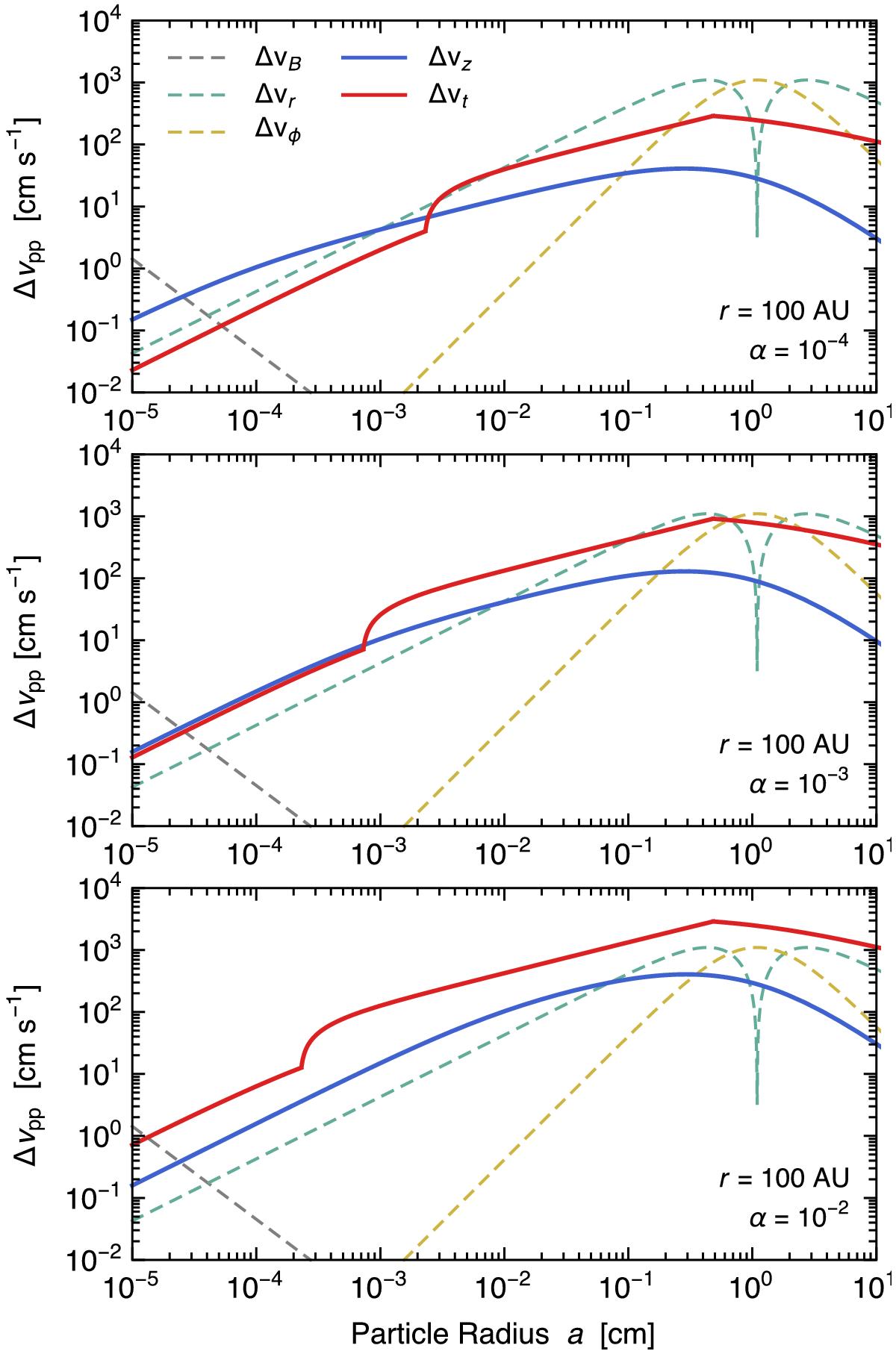
Fig. 2

Components of the particle relative velocity Δvpp at 100 AU as a function of particle radius a for three values of the turbulence parameter α = 10-4 (top panel), 10-3 (middle panel), and 10-2 (bottom panel). The velocity components that depend on α are shown by the solid curves. The stopping time ratio of ϵ = 0.5 is assumed for Δvr, Δvφ, Δvz, and Δvt.
Current usage metrics show cumulative count of Article Views (full-text article views including HTML views, PDF and ePub downloads, according to the available data) and Abstracts Views on Vision4Press platform.
Data correspond to usage on the plateform after 2015. The current usage metrics is available 48-96 hours after online publication and is updated daily on week days.
Initial download of the metrics may take a while.