Free Access
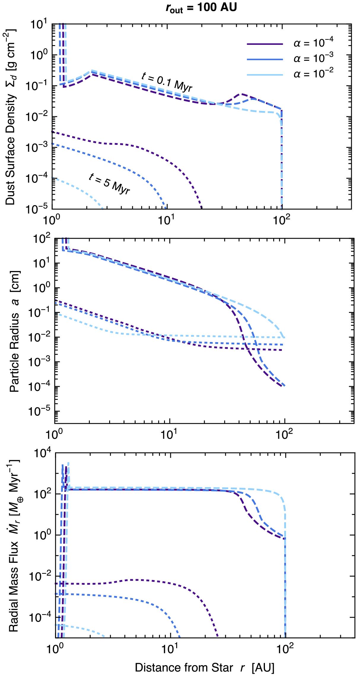
Fig. 7

Time evolution of the surface density Σd (top panel), radius a (middle panel), and radial mass flux Ṁr (bottom panel) of dust particles as a function of orbital radius r for models with rout = 100 AU and with different values of α. The dashed and dotted lines are the snapshots at times t = 0.1 and 5 Myr, respectively.
Current usage metrics show cumulative count of Article Views (full-text article views including HTML views, PDF and ePub downloads, according to the available data) and Abstracts Views on Vision4Press platform.
Data correspond to usage on the plateform after 2015. The current usage metrics is available 48-96 hours after online publication and is updated daily on week days.
Initial download of the metrics may take a while.