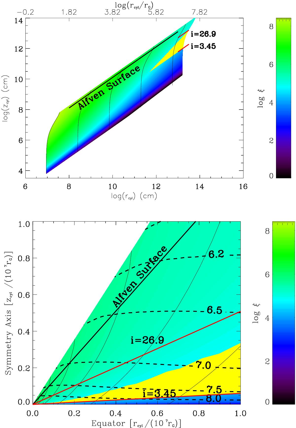
Fig. 5

Top panel: distribution of the Best Cold Set in the logarithmic plane of the radial (rcyl) and vertical (zcyl) distance (in cylindrical co-ordinates) from the black hole. The distances are also expressed in terms of the gravitational radius rg (top axis), which is 1.5 × 106 cm for a 10 M⊙ black hole. The colour gradient indicates the ξ distribution of the flow. The solid black lines threading through the distribution show some of the magnetic field lines along which material is outflowing. The Alfvén surface corresponding to the solution is also marked and labelled. The yellow wedge highlights the wind part of the flow; this material is optically thin with NH< 1024 cm-3 and has sufficiently low ionization parameter (with ξ< 104.86 erg cm) to cause FeXXVI absorption lines. The angular extent of the wind is also clearly marked, where i is the equatorial angle. Bottom panel: a close-up view of the wind region. The distances are expressed in linear scale, but normalized to 107rg. The dashed lines show the isocontours of nH, while the associated labels denote the value of log nH (cm-3).
Current usage metrics show cumulative count of Article Views (full-text article views including HTML views, PDF and ePub downloads, according to the available data) and Abstracts Views on Vision4Press platform.
Data correspond to usage on the plateform after 2015. The current usage metrics is available 48-96 hours after online publication and is updated daily on week days.
Initial download of the metrics may take a while.