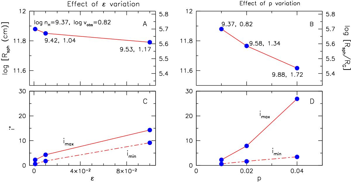
Fig. 6

Physical parameters of the wind are plotted as a function of ε (left panels) and p (right panels), while using the Soft SED as the ionizing continua. Top panels: for the closest wind point, we plot the logarithm of Rsph | wind in the left panel A as a function of the disk aspect ratio ε and as a function of the accretion index p in the right panel B. This index is held constant at p = 0.01 for the solutions in the left panels and ε = 0.001 is kept constant for those in the right panels. Each blue circle in the figure represents a MHD solution. The logarithm of two other relevant quantities, nH and vobs for the closest wind point, are labelled at each point; these are their maximum possible values within the wind region for a given MHD solution. Bottom panels: the minimum (imin) and the maximum (imax) equatorial angles of the line of sight, within which the wind can be observed, is plotted as a function of ε (left) and of p (right).
Current usage metrics show cumulative count of Article Views (full-text article views including HTML views, PDF and ePub downloads, according to the available data) and Abstracts Views on Vision4Press platform.
Data correspond to usage on the plateform after 2015. The current usage metrics is available 48-96 hours after online publication and is updated daily on week days.
Initial download of the metrics may take a while.