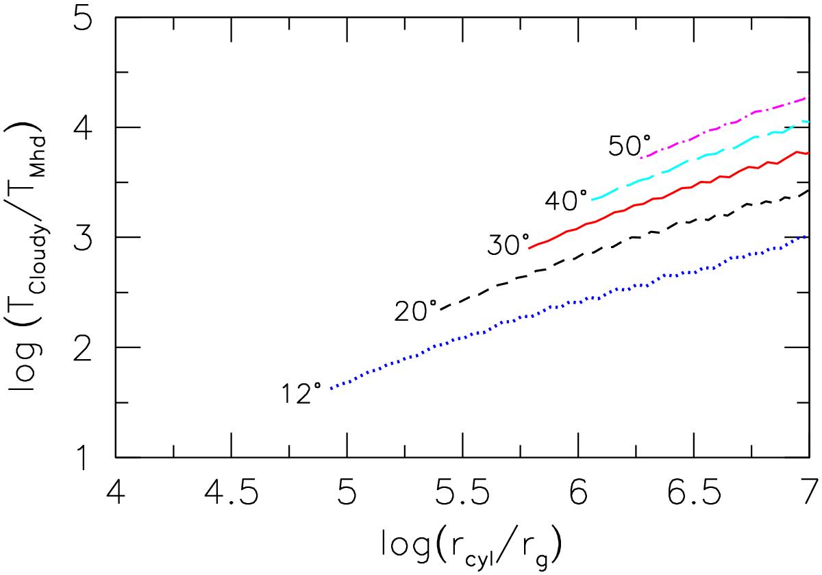
Fig. 9

Comparison of the different temperatures associated with wind in the Best Cold Solution. TCloudy is the temperature calculated using CLOUDY and is the actual temperature of the photoionized gas. TMHD is the temperature due to the MHD solution, the value that has been used to calculate all the physical properties of the outflow. The ratio between these two temperatures is plotted as a function of the distance from the black hole and at different angles of line of sight.
Current usage metrics show cumulative count of Article Views (full-text article views including HTML views, PDF and ePub downloads, according to the available data) and Abstracts Views on Vision4Press platform.
Data correspond to usage on the plateform after 2015. The current usage metrics is available 48-96 hours after online publication and is updated daily on week days.
Initial download of the metrics may take a while.