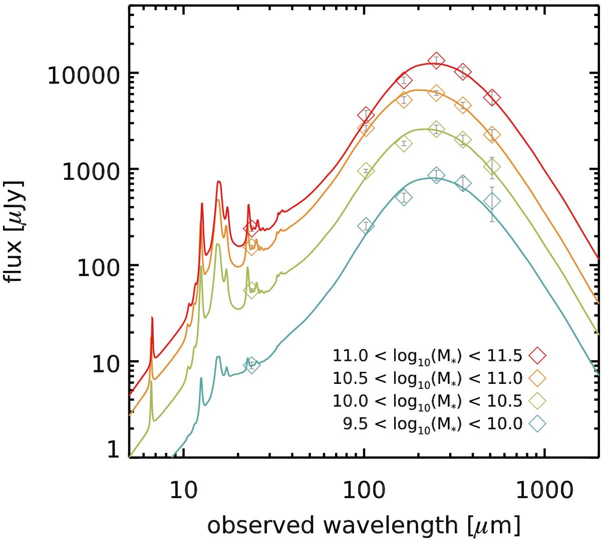
Fig. 6

Mean stacked FIR SEDs of star-forming galaxies in our z = 1 sample, split into four mass bins. The broadband photometry (open diamonds) is taken from S15. The fit to the stacked measurements is performed using the dust models of Galliano et al. (2011). It is apparent from this figure that massive galaxies (in red) have a colder dust temperature. This can be clearly seen from the peak wavelength of the best-fit model, or indirectly from the flux ratio S500/S100.
Current usage metrics show cumulative count of Article Views (full-text article views including HTML views, PDF and ePub downloads, according to the available data) and Abstracts Views on Vision4Press platform.
Data correspond to usage on the plateform after 2015. The current usage metrics is available 48-96 hours after online publication and is updated daily on week days.
Initial download of the metrics may take a while.