Free Access
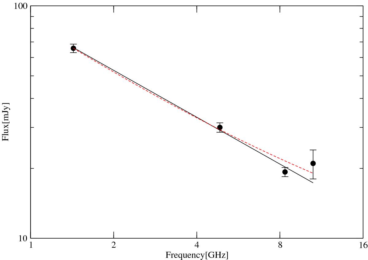
Fig. 12

Radio spectrum of NGC 2976. The point at the highest frequency is from Niklas et al. (1995). The solid black line represents a power-law model fitted to the data. The red dashed line represents the fitted model of a thin disk in which fth = 0.16 and αnth = −0.82 (see text for details).
Current usage metrics show cumulative count of Article Views (full-text article views including HTML views, PDF and ePub downloads, according to the available data) and Abstracts Views on Vision4Press platform.
Data correspond to usage on the plateform after 2015. The current usage metrics is available 48-96 hours after online publication and is updated daily on week days.
Initial download of the metrics may take a while.