Free Access
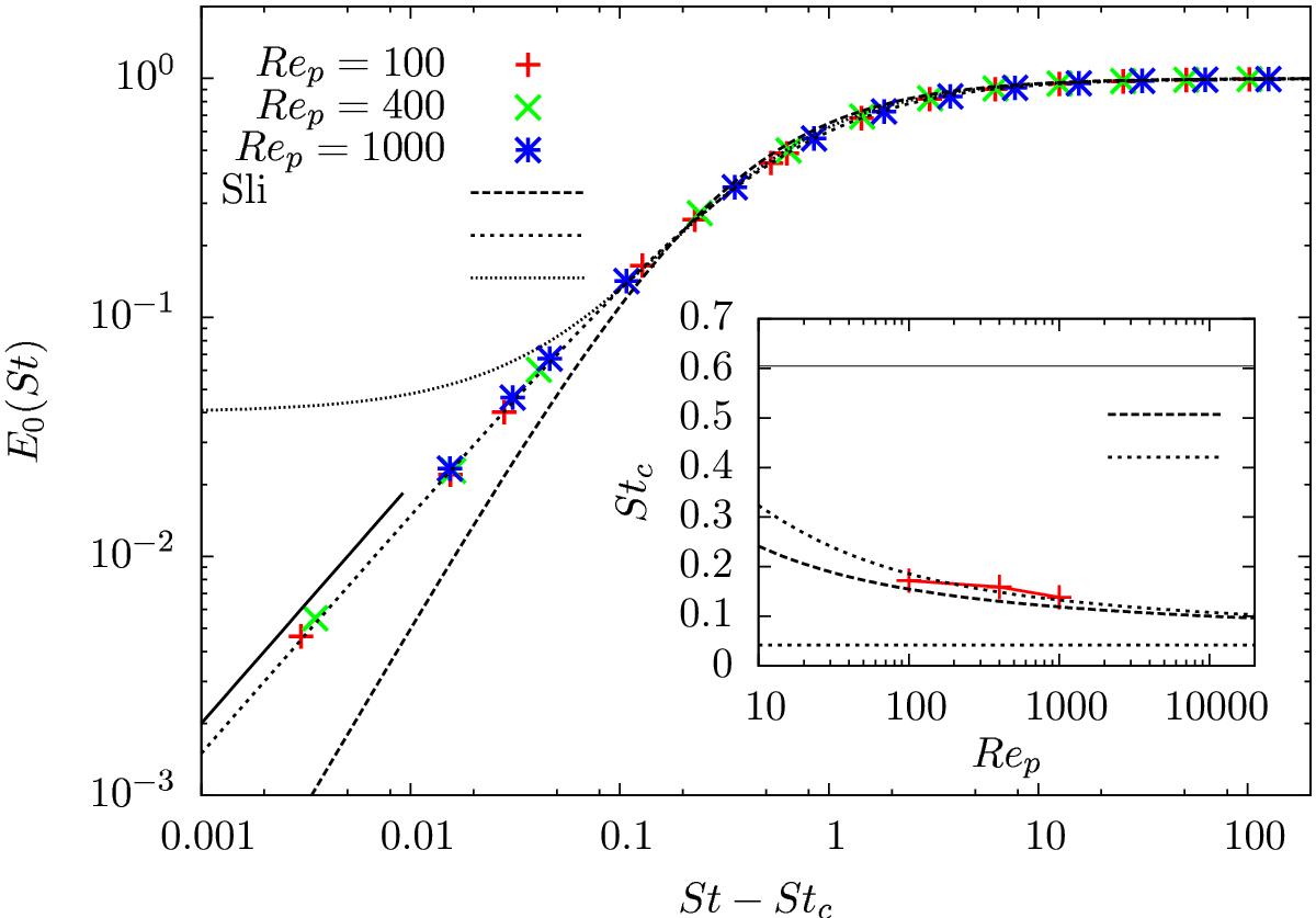
Fig. 6

Collision efficiency as a function of St − Stc, where Stc is the critical Stokes number below which no collision happen. fit = (St − Stc)/(St − Stc + 2/3) (Eq. (16)). The solid line indicates a linear increase. Inset: Critical Stokes number as a function of the planetesimal Reynolds number. fit = .
Current usage metrics show cumulative count of Article Views (full-text article views including HTML views, PDF and ePub downloads, according to the available data) and Abstracts Views on Vision4Press platform.
Data correspond to usage on the plateform after 2015. The current usage metrics is available 48-96 hours after online publication and is updated daily on week days.
Initial download of the metrics may take a while.