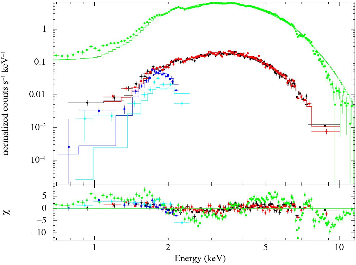
Fig. 5

EPIC-pn (green), EPIC-MOS1 (black), EPIC-MOS2 (red), RGS1 (blue), and RGS2 (cyan) average spectra extracted from the XMM-Newton observation of IGR J17451–3022. The model used for the preliminary fit of the data here is an absorbed disk blackbody model (tbabs*diskbb in Xspec). The residuals from the fit in the bottom panel show the instrumental excess in the EPIC-pn data below 1.7 keV (in addition to the many absorption features, see also Fig. 7). For this reason, we only used EPIC-pn data in the energy range 1.7–12 keV for further analysis.
Current usage metrics show cumulative count of Article Views (full-text article views including HTML views, PDF and ePub downloads, according to the available data) and Abstracts Views on Vision4Press platform.
Data correspond to usage on the plateform after 2015. The current usage metrics is available 48-96 hours after online publication and is updated daily on week days.
Initial download of the metrics may take a while.