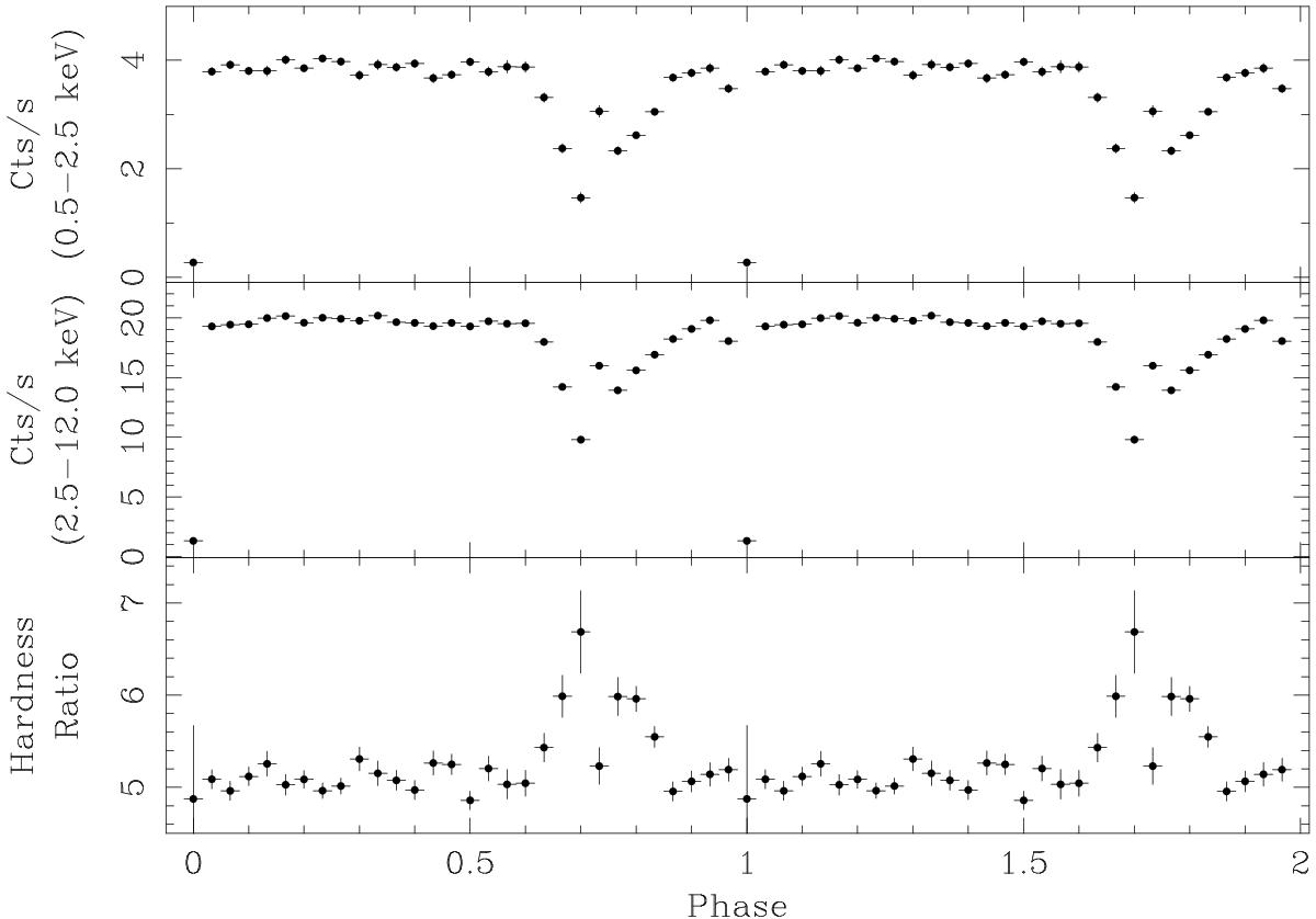
Fig. 8

EPIC-pn lightcurve of IGR J17451–3022 folded on the best orbital period determined in this work, s (see Sect. 4.1). The upper (middle) panel shows the folded source lightcurve in the soft (hard) X-ray energy band, while the bottom panel shows the HR (i.e., the ratio of the source count-rate in the hard, 2.5–12 keV, and soft, 0.5–2.5 keV, energy bands).
Current usage metrics show cumulative count of Article Views (full-text article views including HTML views, PDF and ePub downloads, according to the available data) and Abstracts Views on Vision4Press platform.
Data correspond to usage on the plateform after 2015. The current usage metrics is available 48-96 hours after online publication and is updated daily on week days.
Initial download of the metrics may take a while.