Free Access
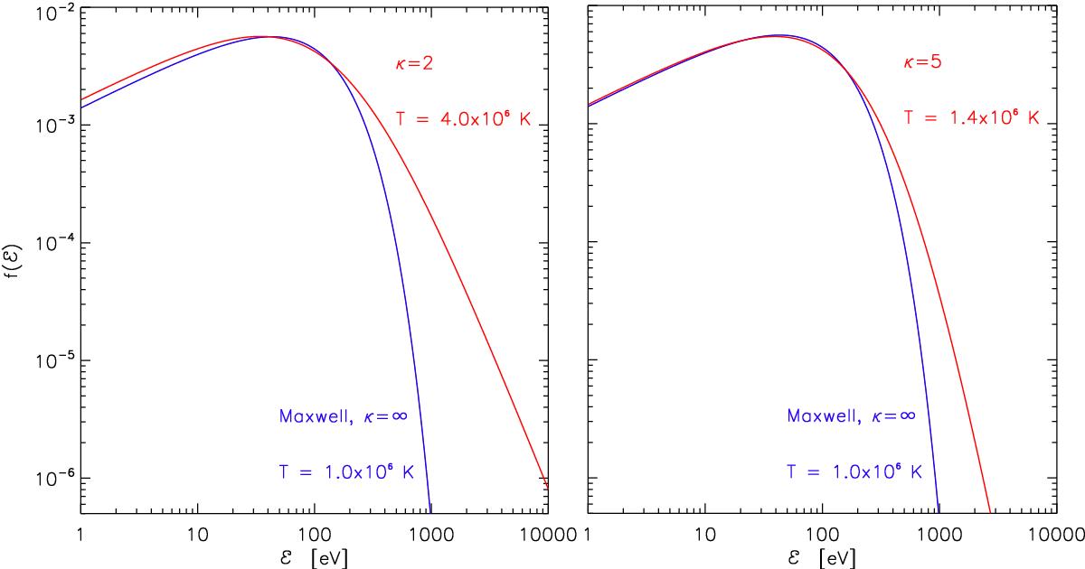
Fig. 1

Electron energy distributions considered in the model. The Maxwellian distribution with T = 1 MK is shown in blue, while the κ-distributions with κ = 2 and 5 are shown in the left and right panels, respectively. The corresponding temperatures of the κ-distributions are indicated.
This figure is made of several images, please see below:
Current usage metrics show cumulative count of Article Views (full-text article views including HTML views, PDF and ePub downloads, according to the available data) and Abstracts Views on Vision4Press platform.
Data correspond to usage on the plateform after 2015. The current usage metrics is available 48-96 hours after online publication and is updated daily on week days.
Initial download of the metrics may take a while.