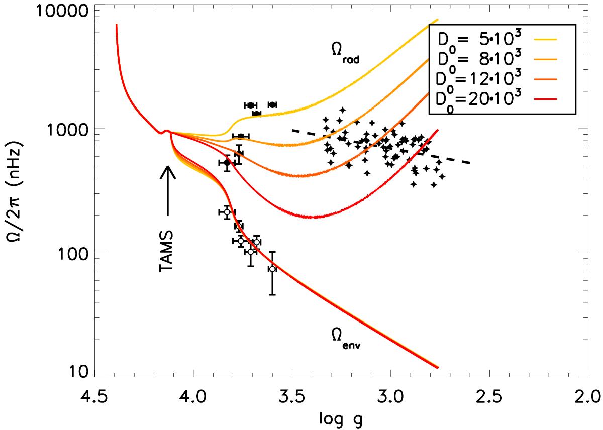
Fig. 2

PoMS rotational evolution of a 1.25 M⊙ model with constant angular momentum diffusion coefficient, compared with the subgiant stars of D+14 (open circles: Ωp; filled circles: Ωg) and the red giants from M+12 (diamonds). The broken line is a linear fit (in the variables log Ω / 2π vs. log g) of the core rotation of the red giants. Values of D0 in the legend are in cm2 s-1.
Current usage metrics show cumulative count of Article Views (full-text article views including HTML views, PDF and ePub downloads, according to the available data) and Abstracts Views on Vision4Press platform.
Data correspond to usage on the plateform after 2015. The current usage metrics is available 48-96 hours after online publication and is updated daily on week days.
Initial download of the metrics may take a while.