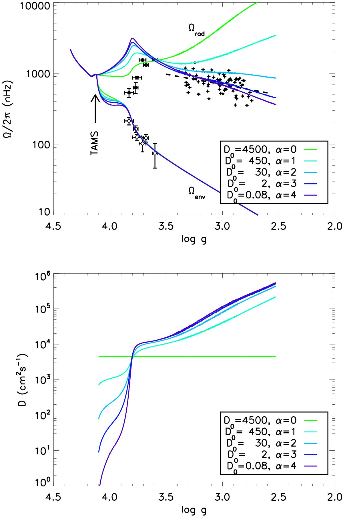
Fig. 3

PoMS rotational evolution models with angular momentum diffusion coefficient scaling with the ratio Ωrad/ Ωenv according to Eq. (3). A solid-body interior rotation profile is enforced until the TAMS. Upper panel: as in Fig. 2, but showing various non-zero α models as well. For each value of α, the scaling parameter D0 is calibrated to match the most evolved star in the D+14 sample. Lower panel: evolution of D as a function of log g. The values of D0 shown in the legend are in cm2 s-1.
Current usage metrics show cumulative count of Article Views (full-text article views including HTML views, PDF and ePub downloads, according to the available data) and Abstracts Views on Vision4Press platform.
Data correspond to usage on the plateform after 2015. The current usage metrics is available 48-96 hours after online publication and is updated daily on week days.
Initial download of the metrics may take a while.