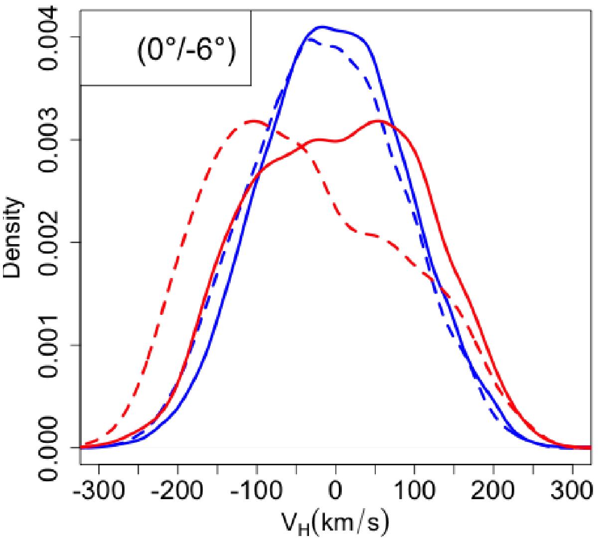
Fig. 5

Heliocentric radial velocity density distributions in the field centred at l = 0° and b = −6° for stars in the near and far sides of the bar. Only disk stars with | x | ≤ 2.5 kpc and | y | ≤ 3 kpc were selected. The size of the field is Δl = Δb = 1°. Curves in blue and in red correspond to stars born at rini< 2.5 kpc and at 2.5 kpc ≤rini< 4.5 kpc, respectively, at the bright (dotted line) and faint (solid line) sides of the bar.
Current usage metrics show cumulative count of Article Views (full-text article views including HTML views, PDF and ePub downloads, according to the available data) and Abstracts Views on Vision4Press platform.
Data correspond to usage on the plateform after 2015. The current usage metrics is available 48-96 hours after online publication and is updated daily on week days.
Initial download of the metrics may take a while.