Free Access

Fig. 2

image

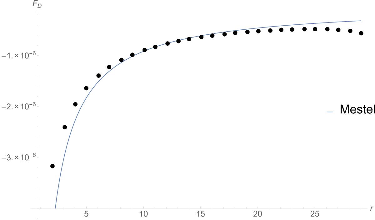
FM computed with the simplified Mestel formula (Eq. (16)), which is most frequently used in common practice. It does not fit the numerical value well close to the star or close to the outer border of the disk. This is due to the assumptions that Rin = 0 and Rout = ∞.

Current usage metrics show cumulative count of Article Views (full-text article views including HTML views, PDF and ePub downloads, according to the available data) and Abstracts Views on Vision4Press platform.

Data correspond to usage on the plateform after 2015. The current usage metrics is available 48-96 hours after online publication and is updated daily on week days.

Initial download of the metrics may take a while.