Free Access

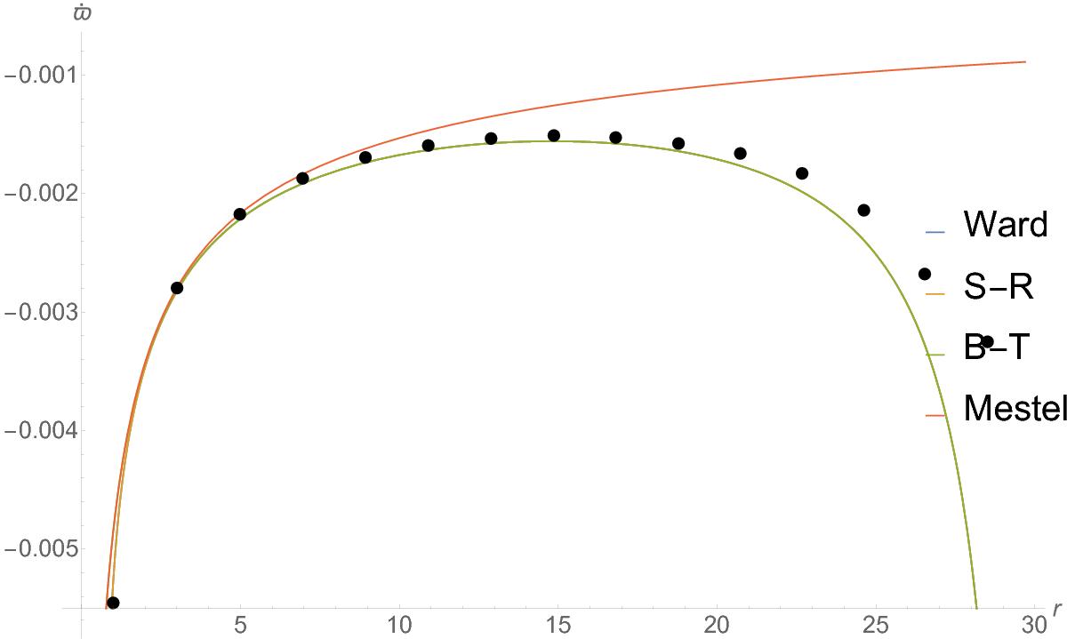
Fig. 5

image

Precession rates for bodies at different distances from the star for a disk-density profile index p = 1. The four analytical values , , and are compared to the numerical values. Even if FBT has values close to the stars that are different from FW and FSR because of the lack of an inner cutoff, when used to compute the precession rate, its predictions are indistinguishable from those of the other two approaches (W and SR).

Current usage metrics show cumulative count of Article Views (full-text article views including HTML views, PDF and ePub downloads, according to the available data) and Abstracts Views on Vision4Press platform.

Data correspond to usage on the plateform after 2015. The current usage metrics is available 48-96 hours after online publication and is updated daily on week days.

Initial download of the metrics may take a while.