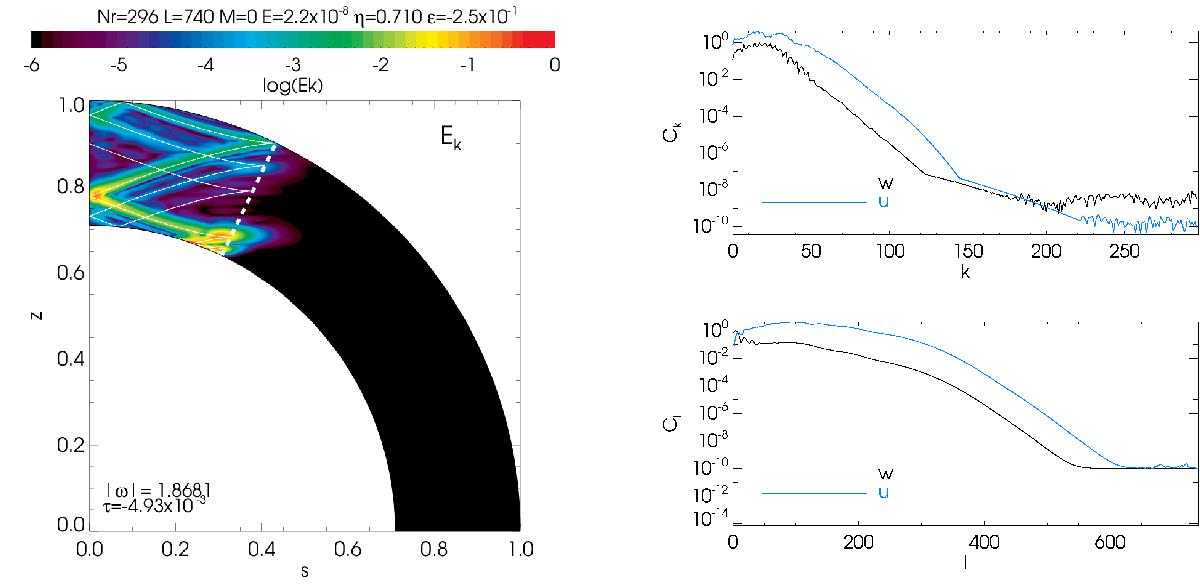
Fig. 12

Left: meridional cut of the normalized kinetic energy of a m = 0 DT mode with eigenfrequency ωp ≈ −1.86 obtained with E = 2.2 × 10-8, η = 0.71, and conical differential rotation ε = −0.25. The location of the turning surface is depicted by the white dashed line. Right: spectral content of the radial (u) and orthoradial (w) components of the velocity field for this mode.
Current usage metrics show cumulative count of Article Views (full-text article views including HTML views, PDF and ePub downloads, according to the available data) and Abstracts Views on Vision4Press platform.
Data correspond to usage on the plateform after 2015. The current usage metrics is available 48-96 hours after online publication and is updated daily on week days.
Initial download of the metrics may take a while.