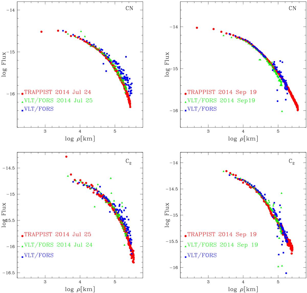
Fig. 1

CN (top) and C2 (bottom) brightness profiles from Jul. 25 and Sep. 19, 2014. TRAPPIST data are represented with red circles and the closest VLT data is overplotted. Data extracted from both sides of the nucleus in the spectra are represented respectively with green triangles and blue squares.
Current usage metrics show cumulative count of Article Views (full-text article views including HTML views, PDF and ePub downloads, according to the available data) and Abstracts Views on Vision4Press platform.
Data correspond to usage on the plateform after 2015. The current usage metrics is available 48-96 hours after online publication and is updated daily on week days.
Initial download of the metrics may take a while.