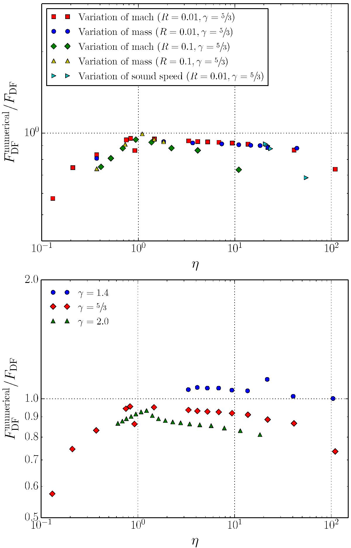
Fig. 16

Comparison of the newly derived approximate formula for dynamical friction FDF with data from various numerical experiments . The corresponding ratio is given as function of the non-linearity parameter η. The top panel shows results from a variety of simulations with adiabatic index γ = 5/3, varying the Mach number, soundspeed, and object mass. The bottom panel shows results from a variety of simulations with varying Mach number for different adiabatic indices as labelled.
Current usage metrics show cumulative count of Article Views (full-text article views including HTML views, PDF and ePub downloads, according to the available data) and Abstracts Views on Vision4Press platform.
Data correspond to usage on the plateform after 2015. The current usage metrics is available 48-96 hours after online publication and is updated daily on week days.
Initial download of the metrics may take a while.