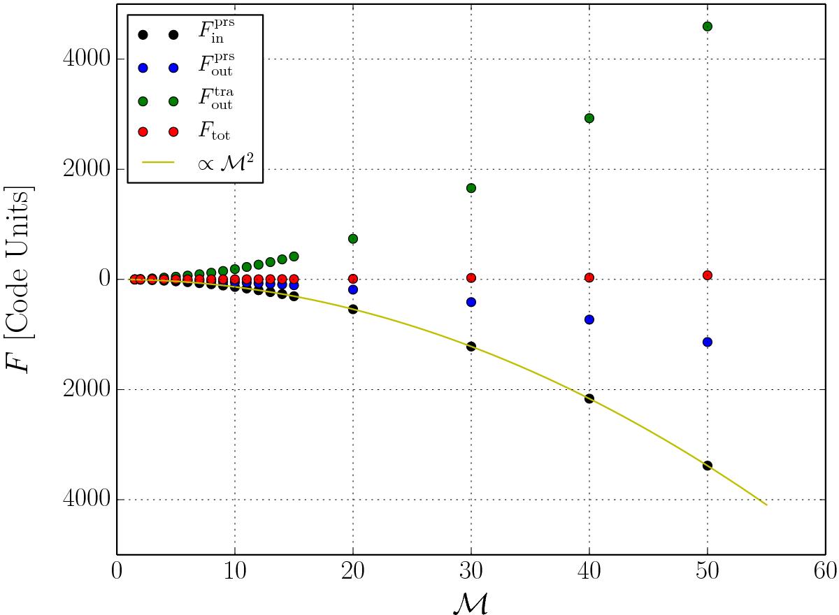
Fig. 3

Force contributions in the equilibrium state according to Eq. (17) for the non-gravitating, rigid sphere in air, given as a function of the Mach number. denotes the pressure force measured at the surface of the sphere,
the pressure force measured at the outer boundary of the computational domain, and
the momentum transport through the outer boundary. The sum of these three forces is denoted by Ftot. The curve describes a parabola with F ∝ ℳ2.
Current usage metrics show cumulative count of Article Views (full-text article views including HTML views, PDF and ePub downloads, according to the available data) and Abstracts Views on Vision4Press platform.
Data correspond to usage on the plateform after 2015. The current usage metrics is available 48-96 hours after online publication and is updated daily on week days.
Initial download of the metrics may take a while.