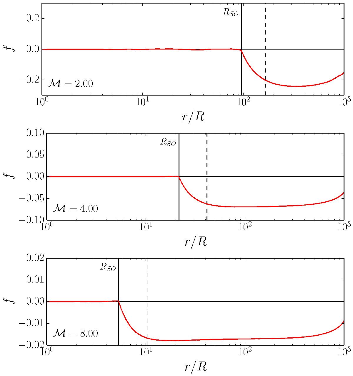
Fig. 5

Fractions of the gravitational drag force f(ri) to the total gravitational drag force acting on the moving object as a function of distance to the object. The vertical solid lines mark the stand-off distance RSO of the shock ahead of the object, and the dashed vertical lines denote the accretion radius RA according to Eq. (3). Results are shown for simulations with three different Mach numbers ℳ as labelled in the bottom left corners.
Current usage metrics show cumulative count of Article Views (full-text article views including HTML views, PDF and ePub downloads, according to the available data) and Abstracts Views on Vision4Press platform.
Data correspond to usage on the plateform after 2015. The current usage metrics is available 48-96 hours after online publication and is updated daily on week days.
Initial download of the metrics may take a while.